通知公告

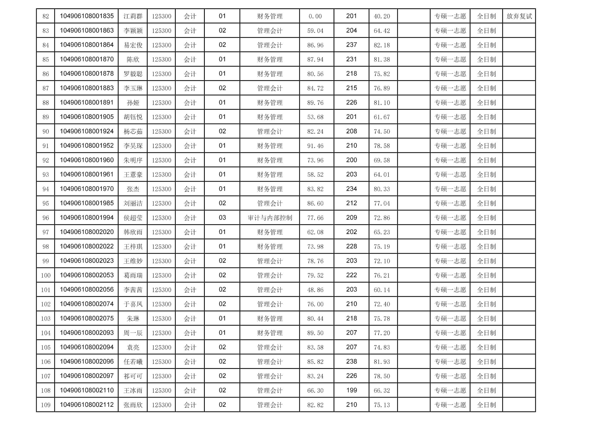
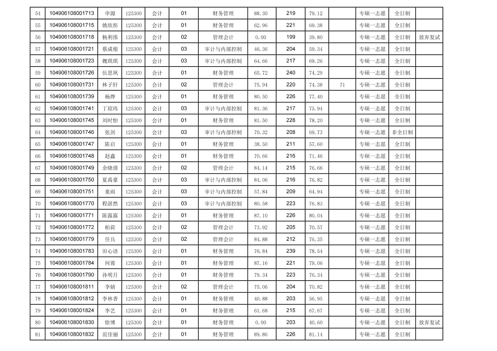
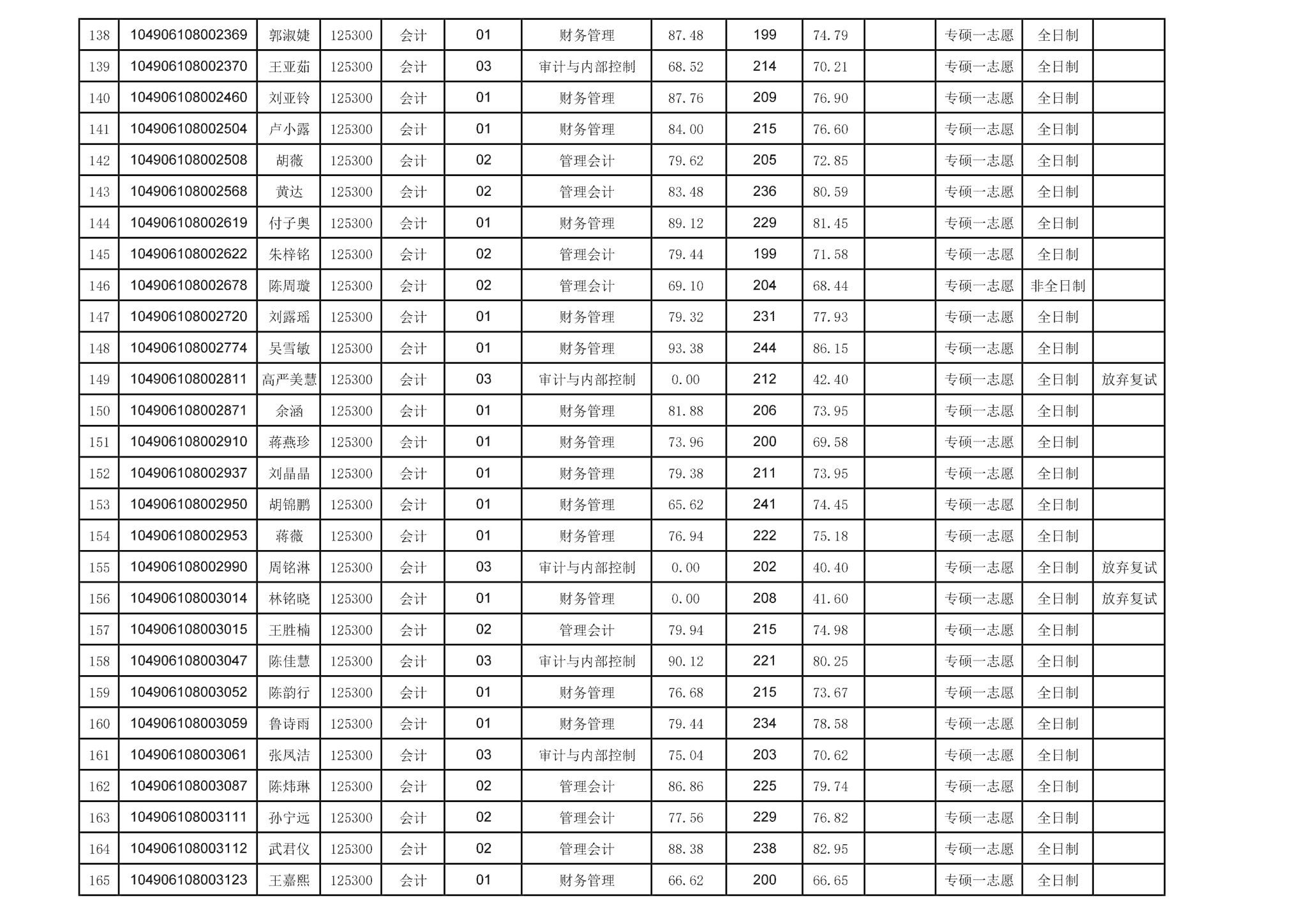
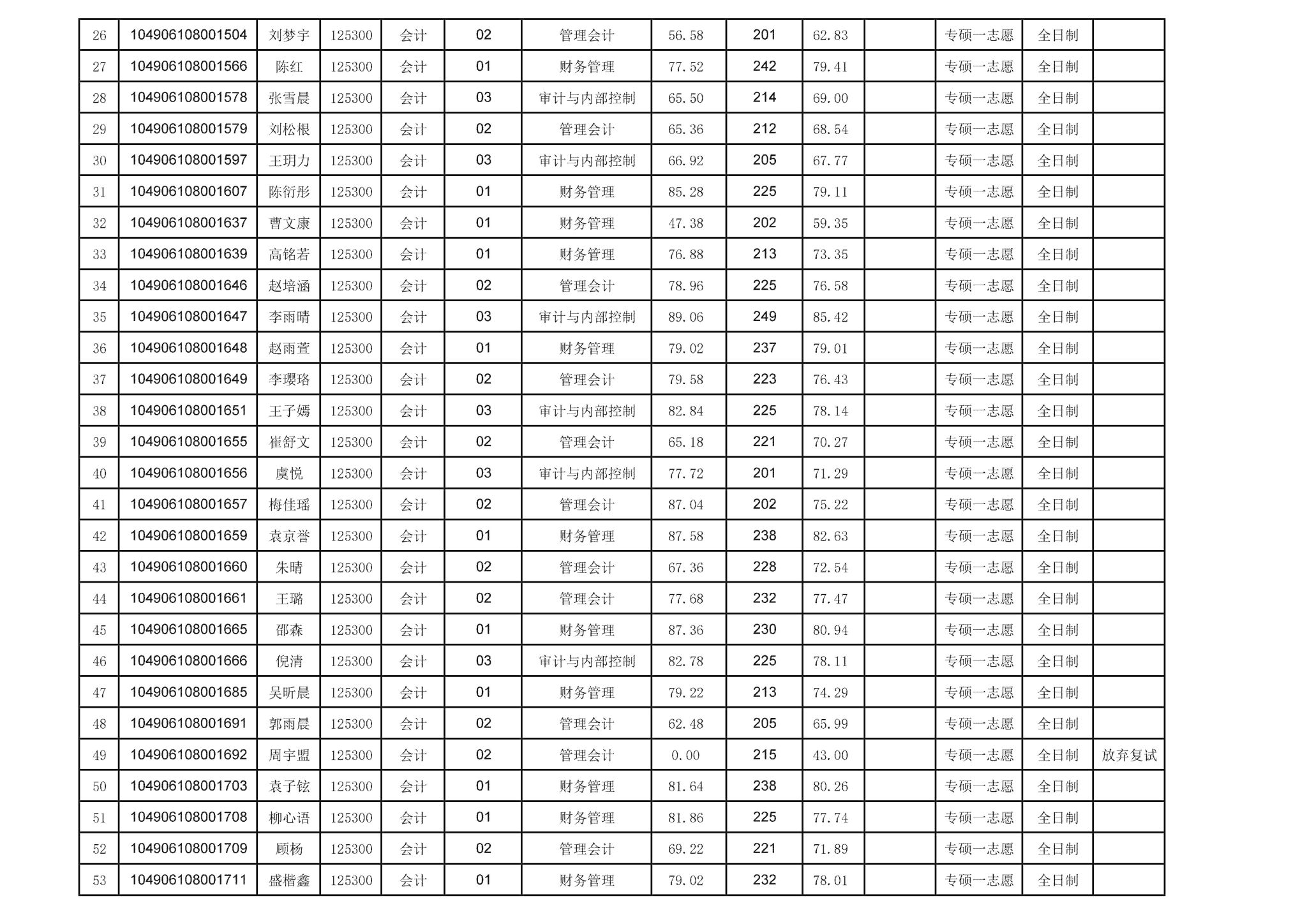
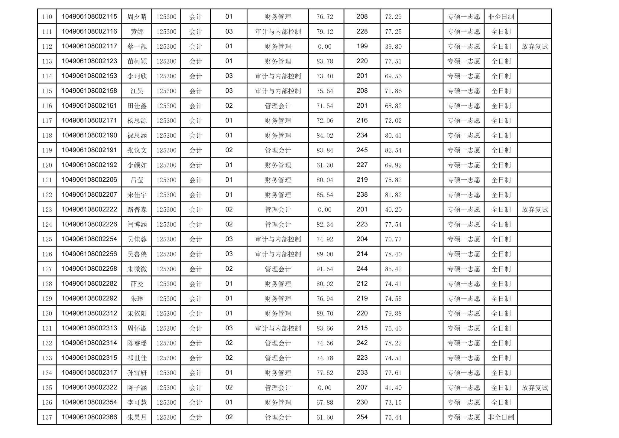
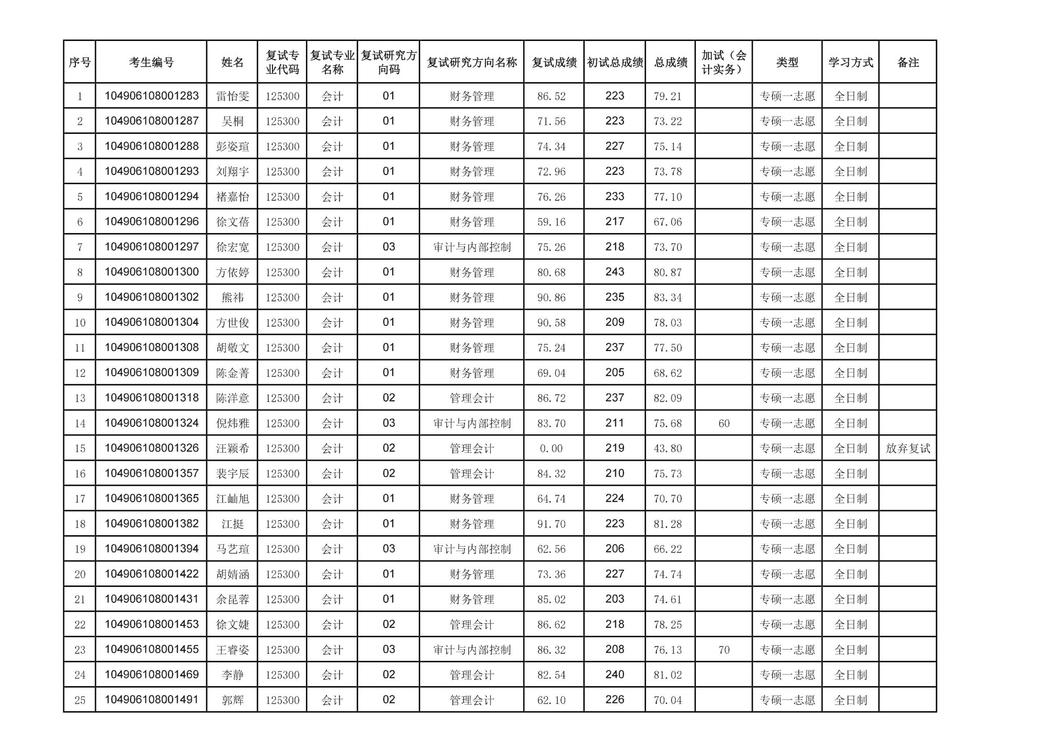
管理学院2026年MPAcc硕士研究生复试成绩公示(一志愿)

时间:2026-03-31  点击:


关闭

地址: 中国.湖北.武汉.东湖新技术开发区光谷一路206号 | 邮编:430205

院办电话:87992014    院长信箱:yhfei_2006@wit.edu.cn

武汉工程大学管理学院 版权所有 @2019 鄂ICP备05025754号

  • 官方微信

  • 官方微博